Официальное опубликование правовых актов
ОФИЦИАЛЬНОЕ ОПУБЛИКОВАНИЕ
Постановление Правительства Республики Башкортостан от 06.11.2025 № 545
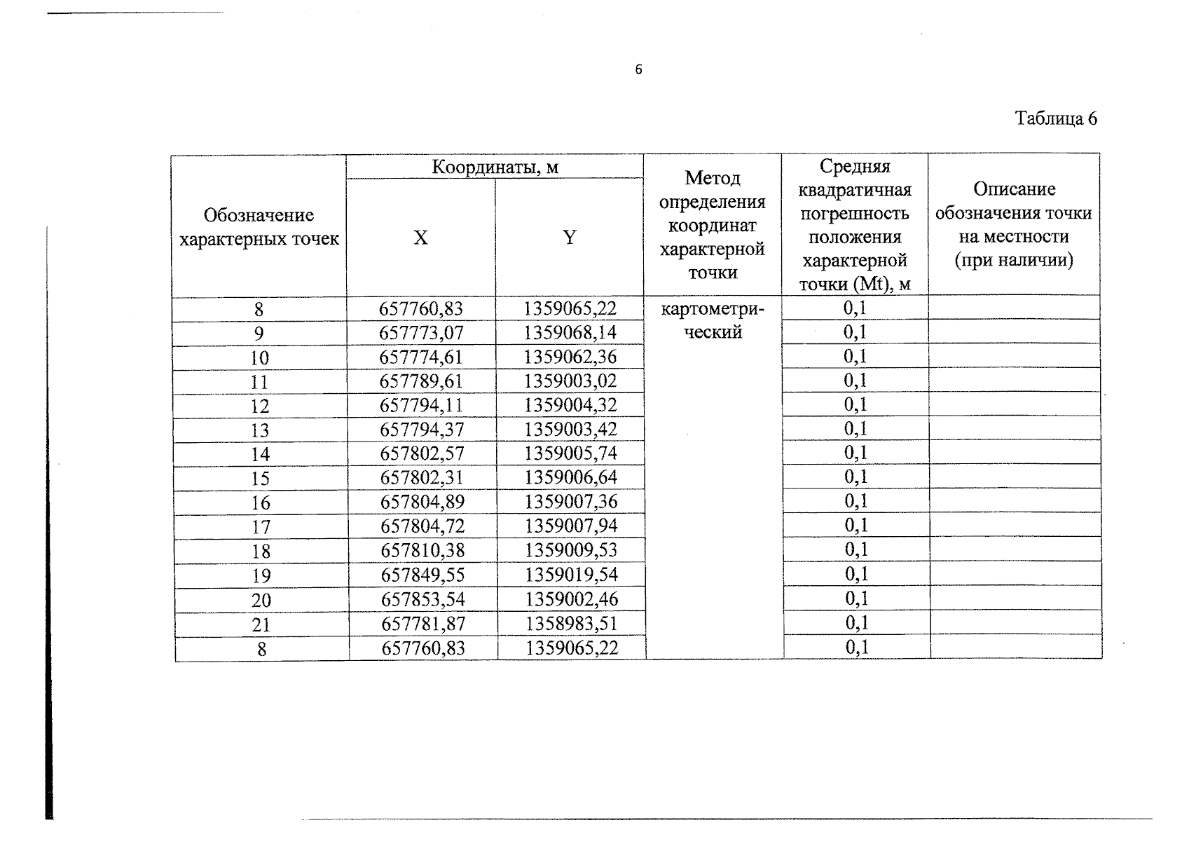
"Об утверждении границ зон охраны объекта культурного наследия регионального значения "Дом Связи (Главпочтамт)", расположенного по адресу: Республика Башкортостан, г.Уфа,ул.Ленина, 28, режимов использования земель и требований к градостроительным регламентам в границах территории данных зон"
Номер опубликования: 0200202511130013
Дата опубликования: 13.11.2025
Страница №8 из 20:
Увеличить