Официальное опубликование правовых актов
ОФИЦИАЛЬНОЕ ОПУБЛИКОВАНИЕ
Постановление Правительства Республики Башкортостан от 24.03.2026 № 65
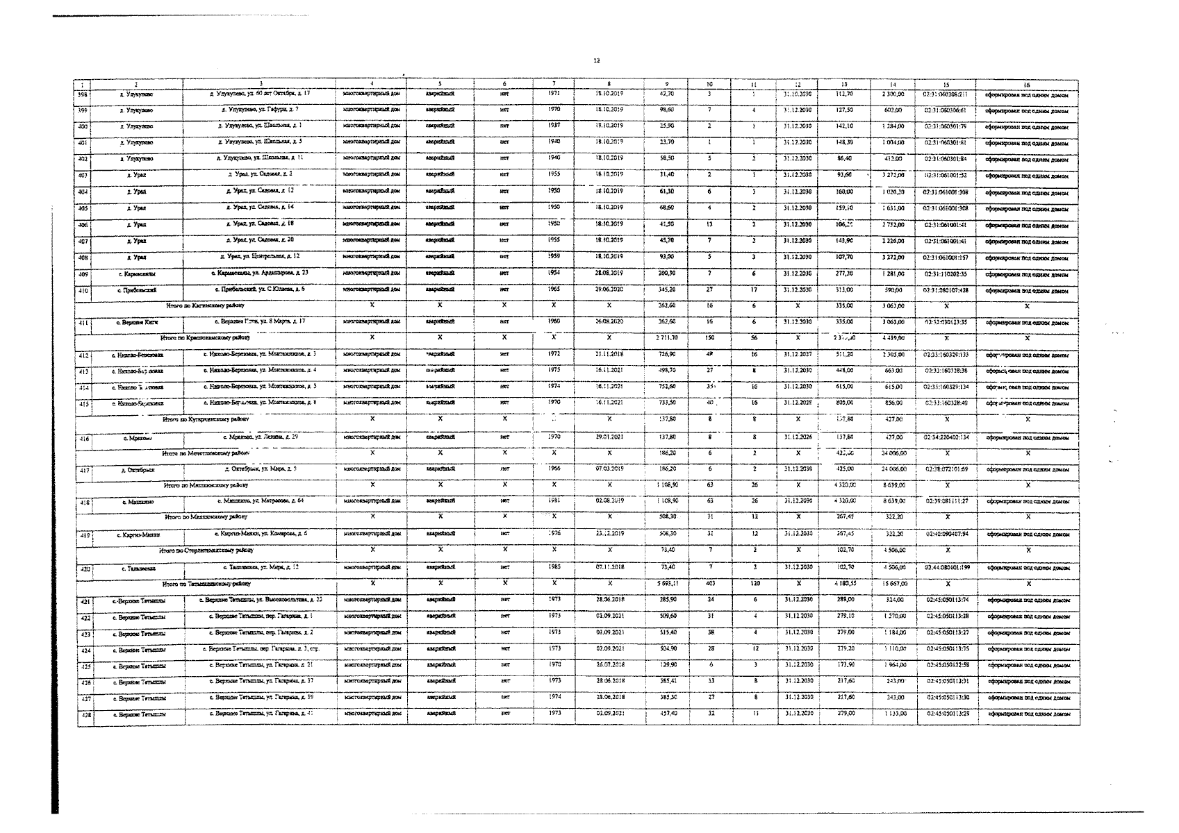
"О внесении изменений в постановление Правительства Республики Башкортостан от 11 июня 2024 года № 242 "Об утверждении Адресной программы Республики Башкортостан по переселению граждан из аварийного жилищного фонда на 2024-2030 годы"
Номер опубликования: 0200202603270001
Дата опубликования: 27.03.2026
Страница №42 из 57:
Увеличить