Официальное опубликование правовых актов
ОФИЦИАЛЬНОЕ ОПУБЛИКОВАНИЕ
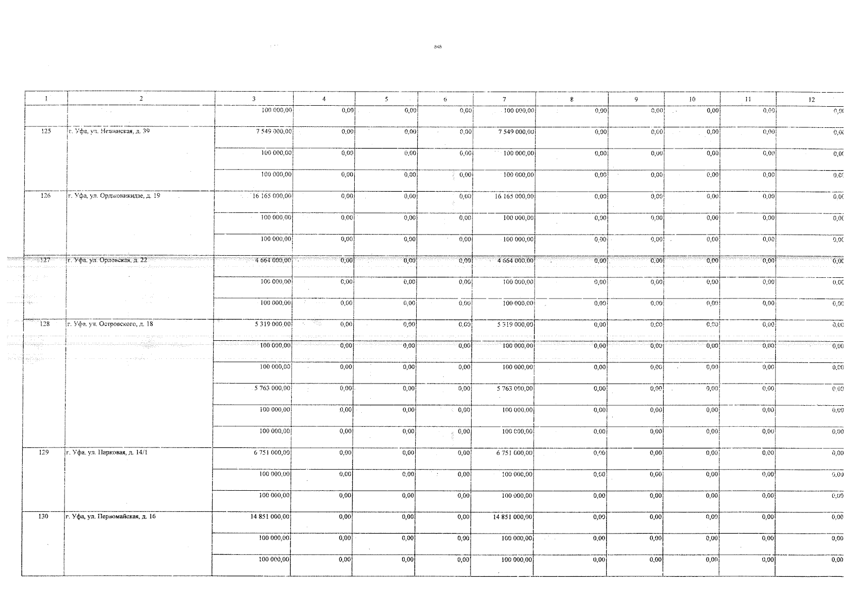
Приказ Министерства жилищно-коммунального хозяйства Республики Башкортостан от 23.12.2024 № М02-404
"О внесении изменений в краткосрочный план реализации Республиканской программы капитального ремонта ремонта общего имущества в многоквартирных домах, расположенных на территории Республики Башкортостан, на 2023-2025 годы, утвержденный приказом Министерства жилищно-коммунального хозяйства Республики Башкортостан от 17 сентября 2021 года №06/06-326"
(Зарегистрирован 03.02.2025 № 23862)
Номер опубликования: 0201202502120001
Дата опубликования: 12.02.2025
Страница №849 из 896:
Увеличить