Постановление Государственного комитета Республики Башкортостан по тарифам от 25.11.2025 № 270
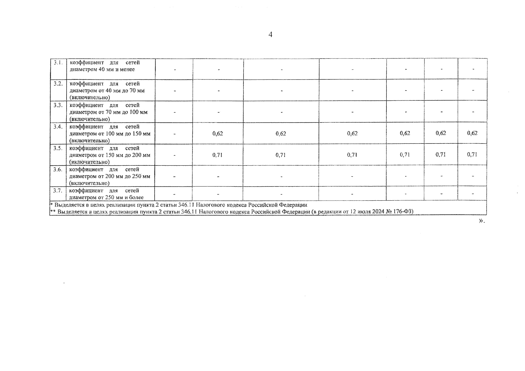
"О внесении изменения в постановление Государственного комитета Республики Башкортостан по тарифам от 2 октября 2023 года № 173 "Об установлении тарифов на подключение (технологическое присоединение) к централизованной системе водоотведения общества с ограниченной ответственностью "ЯнаулВодоканал" потребителей городского поселения город Янаул муниципального района Янаульский район Республики Башкортостан"
(Зарегистрирован 28.11.2025 № 25000)
"О внесении изменения в постановление Государственного комитета Республики Башкортостан по тарифам от 2 октября 2023 года № 173 "Об установлении тарифов на подключение (технологическое присоединение) к централизованной системе водоотведения общества с ограниченной ответственностью "ЯнаулВодоканал" потребителей городского поселения город Янаул муниципального района Янаульский район Республики Башкортостан"
(Зарегистрирован 28.11.2025 № 25000)
Номер опубликования: 0201202512040014
Дата опубликования:
04.12.2025
