Официальное опубликование правовых актов
ОФИЦИАЛЬНОЕ ОПУБЛИКОВАНИЕ
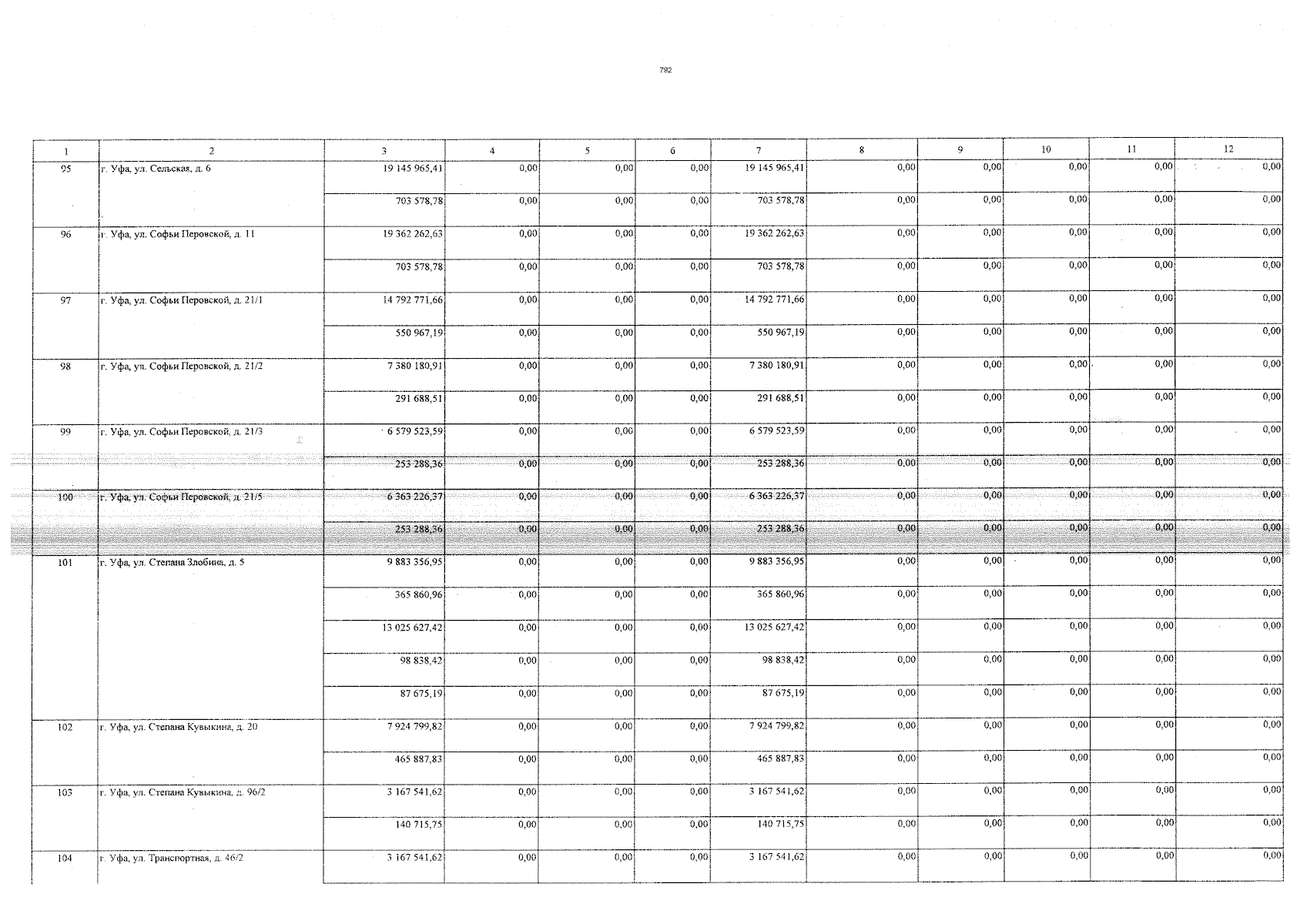
Приказ Министерства жилищно-коммунального хозяйства Республики Башкортостан от 28.11.2025 № М02-201
"О внесении изменений в краткосрочный план реализации Республиканской программы капитального ремонта общего имущества в многоквартирных домах, расположенных на территории Республики Башкортостан, на 2023-2025 годы, утвержденный приказом Министерства жилищно-коммунального хозяйства Республики Башкортостан от 17 сентября 2021 года № 06/06-326"
(Зарегистрирован 13.01.2026 № 25735)
Номер опубликования: 0201202601210001
Дата опубликования: 21.01.2026
Страница №793 из 949:
Увеличить