Официальное опубликование правовых актов
ОФИЦИАЛЬНОЕ ОПУБЛИКОВАНИЕ
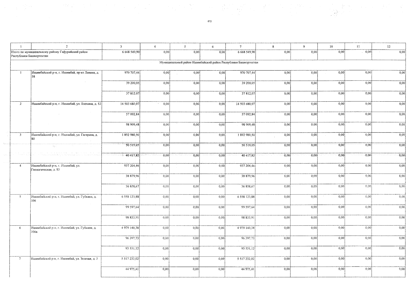
Приказ Министерства жилищно-коммунального хозяйства Республики Башкортостан от 22.12.2025 № М02-221
"О внесении изменений в краткосрочный план реализации Республиканской программы капитального ремонта общего имущества в многоквартирных домах, расположенных на территории Республики Башкортостан, на 2023-2025 годы, утвержденный приказом Министерства жилищно-коммунального хозяйства Республики Башкортостан от 17 сентября 2021 года № 06/06-326"
(Зарегистрирован 16.01.2026 № 25749)
Номер опубликования: 0201202601230001
Дата опубликования: 23.01.2026
Страница №873 из 949:
Увеличить