Официальное опубликование правовых актов
ОФИЦИАЛЬНОЕ ОПУБЛИКОВАНИЕ
Приказ Министерства жилищно-коммунального хозяйства Республики Башкортостан от 27.01.2026 № М02-8
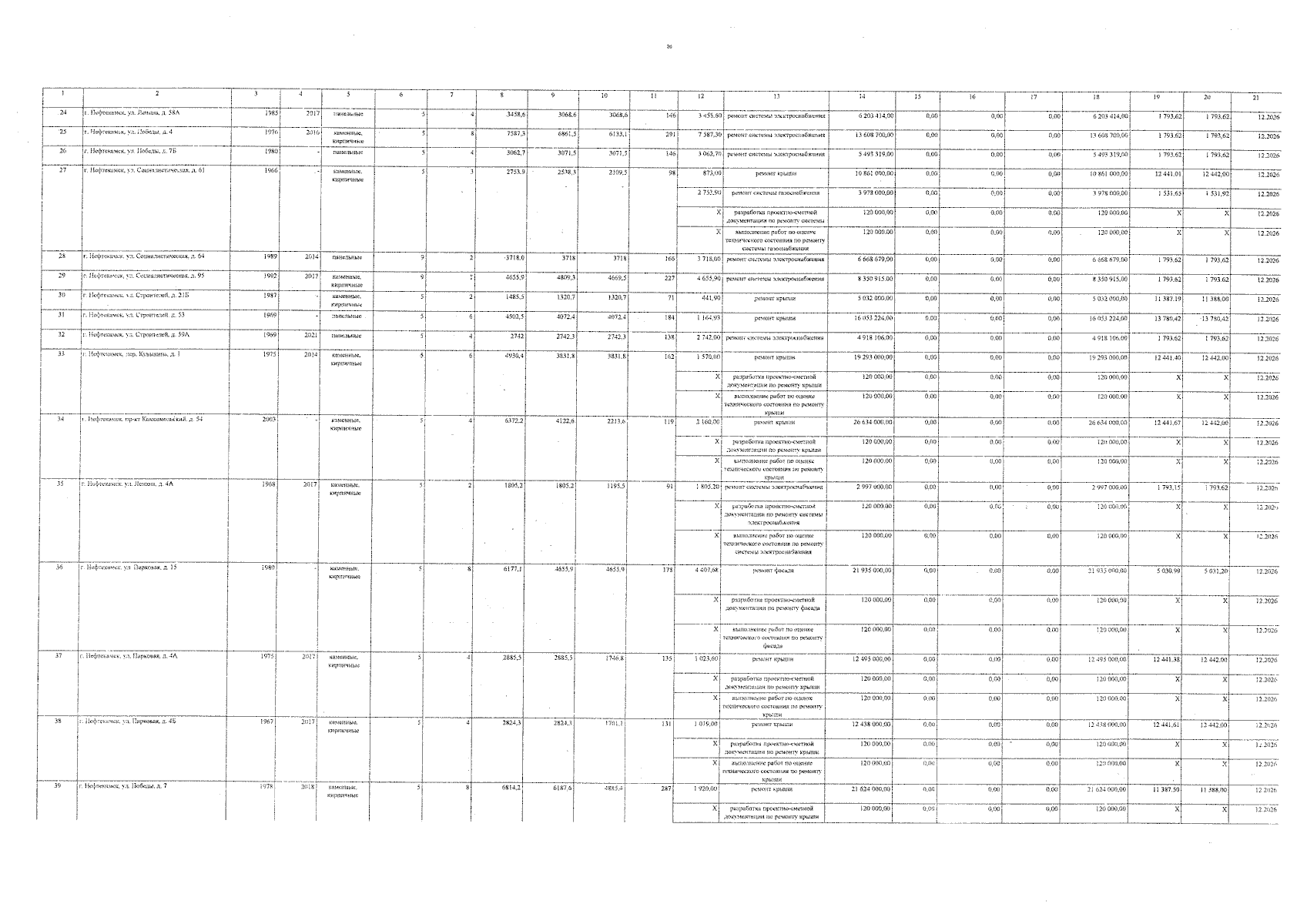
"О внесении изменений в краткосрочный план реализации Республиканской программы капитального ремонта общего имущества в многоквартирных домах, расположенных на территории Республики Башкортостан, на 2026-2028 годы, утвержденный приказом Министерства жилищно-коммунального хозяйства Республики Башкортостан от 28 мая 2025 года № М02-97"
(Зарегистрирован 11.02.2026 № 25857)
Номер опубликования: 0201202602170003
Дата опубликования: 17.02.2026
Страница №27 из 545:
Увеличить