Официальное опубликование правовых актов
ОФИЦИАЛЬНОЕ ОПУБЛИКОВАНИЕ
Постановление Правительства Республики Бурятия от 30.12.2014 № 682
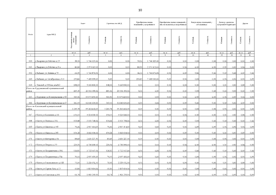
"О внесении изменений в постановление Правительства Республики Бурятия от 27.06.2013 № 332 "Об утверждении Республиканской адресной программы "Переселение граждан из аварийного жилищного фонда с учетом необходимости развития малоэтажного жилищного строительства в Республике Бурятия в 2013 - 2017 годах"
Номер опубликования: 0300201412300003
Дата опубликования: 30.12.2014
Страница №69 из 114:
Увеличить