Официальное опубликование правовых актов
ОФИЦИАЛЬНОЕ ОПУБЛИКОВАНИЕ
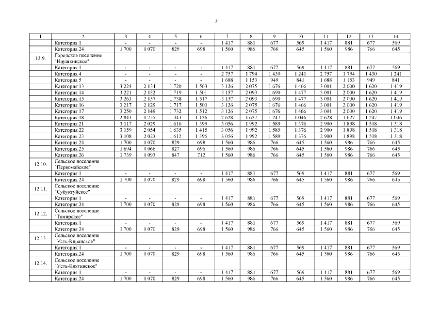
Постановление Правительства Республики Бурятия от 20.02.2015 № 75
"О размерах регионального стандарта стоимости жилищно-коммунальных услуг в Республике Бурятия на 2015 год"
Номер опубликования: 0300201502240007
Дата опубликования: 24.02.2015
Страница №25 из 70:
Увеличить