Официальное опубликование правовых актов
ОФИЦИАЛЬНОЕ ОПУБЛИКОВАНИЕ
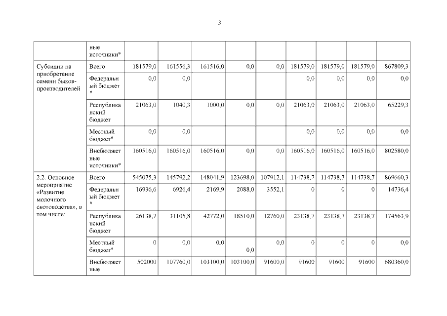
Постановление Правительства Республики Бурятия от 27.02.2015 № 87
"О внесении изменений в постановление Правительства Республики Бурятия от 28.02.2013 № 102 "Об утверждении Государственной программы "Развитие агропромышленного комплекса и сельских территорий в Республике Бурятия"
Номер опубликования: 0300201503020001
Дата опубликования: 02.03.2015
Страница №27 из 78:
Увеличить