Официальное опубликование правовых актов
ОФИЦИАЛЬНОЕ ОПУБЛИКОВАНИЕ
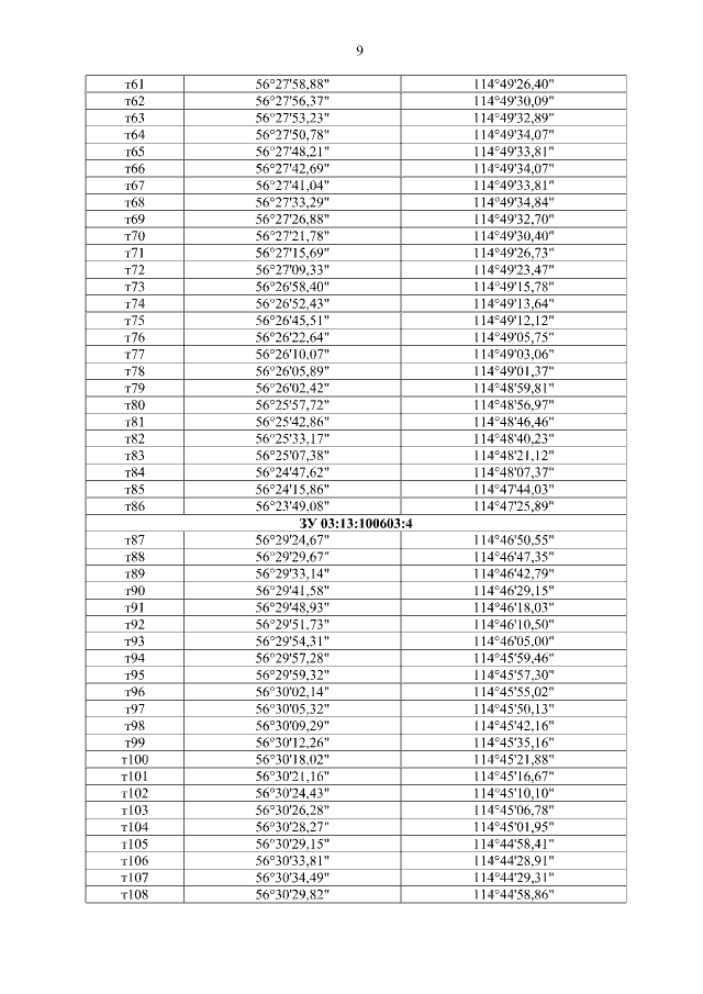
Распоряжение Правительства Республики Бурятия от 11.11.2016 № 739-р
Номер опубликования: 0300201611160002
Дата опубликования: 16.11.2016
Страница №44 из 82:
Увеличить