Официальное опубликование правовых актов
ОФИЦИАЛЬНОЕ ОПУБЛИКОВАНИЕ
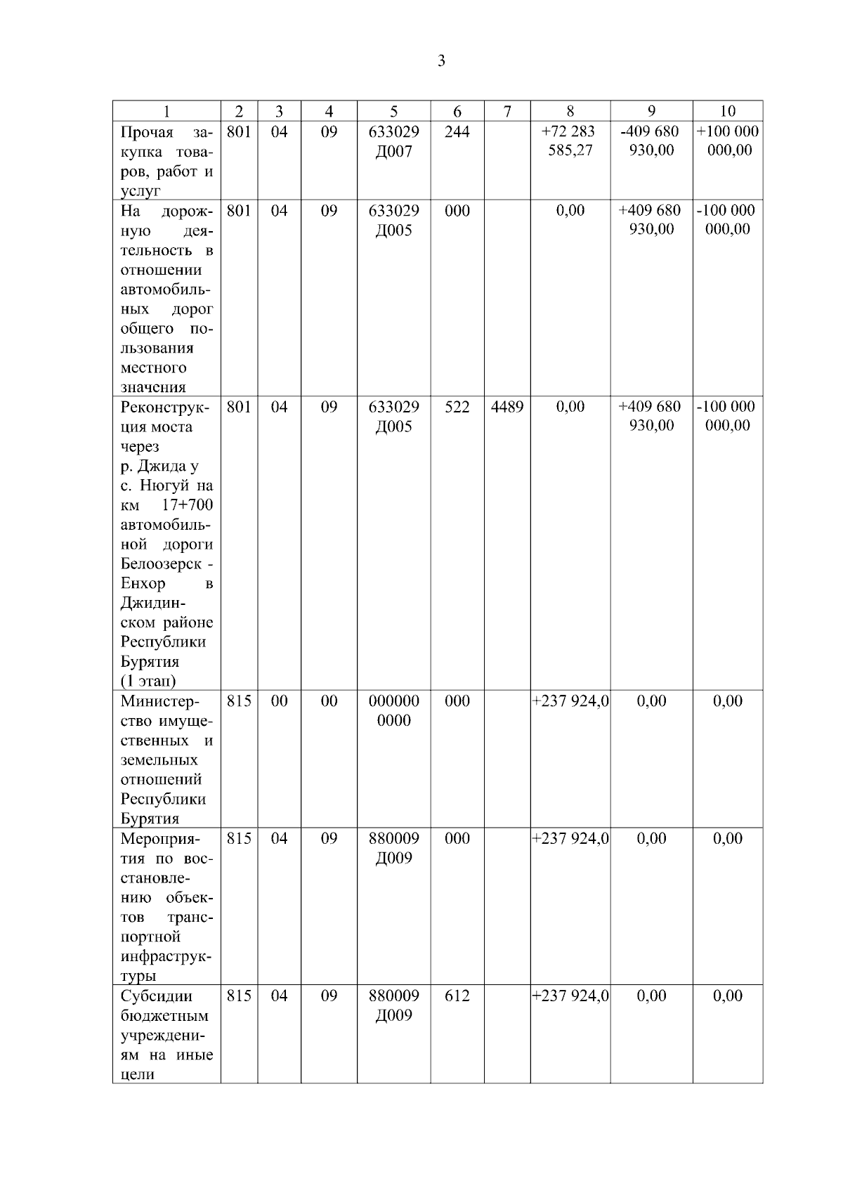
Распоряжение Правительства Республики Бурятия от 27.08.2025 № 663-р
Номер опубликования: 0300202508280008
Дата опубликования: 28.08.2025
Страница №3 из 5:
Увеличить