Официальное опубликование правовых актов
ОФИЦИАЛЬНОЕ ОПУБЛИКОВАНИЕ
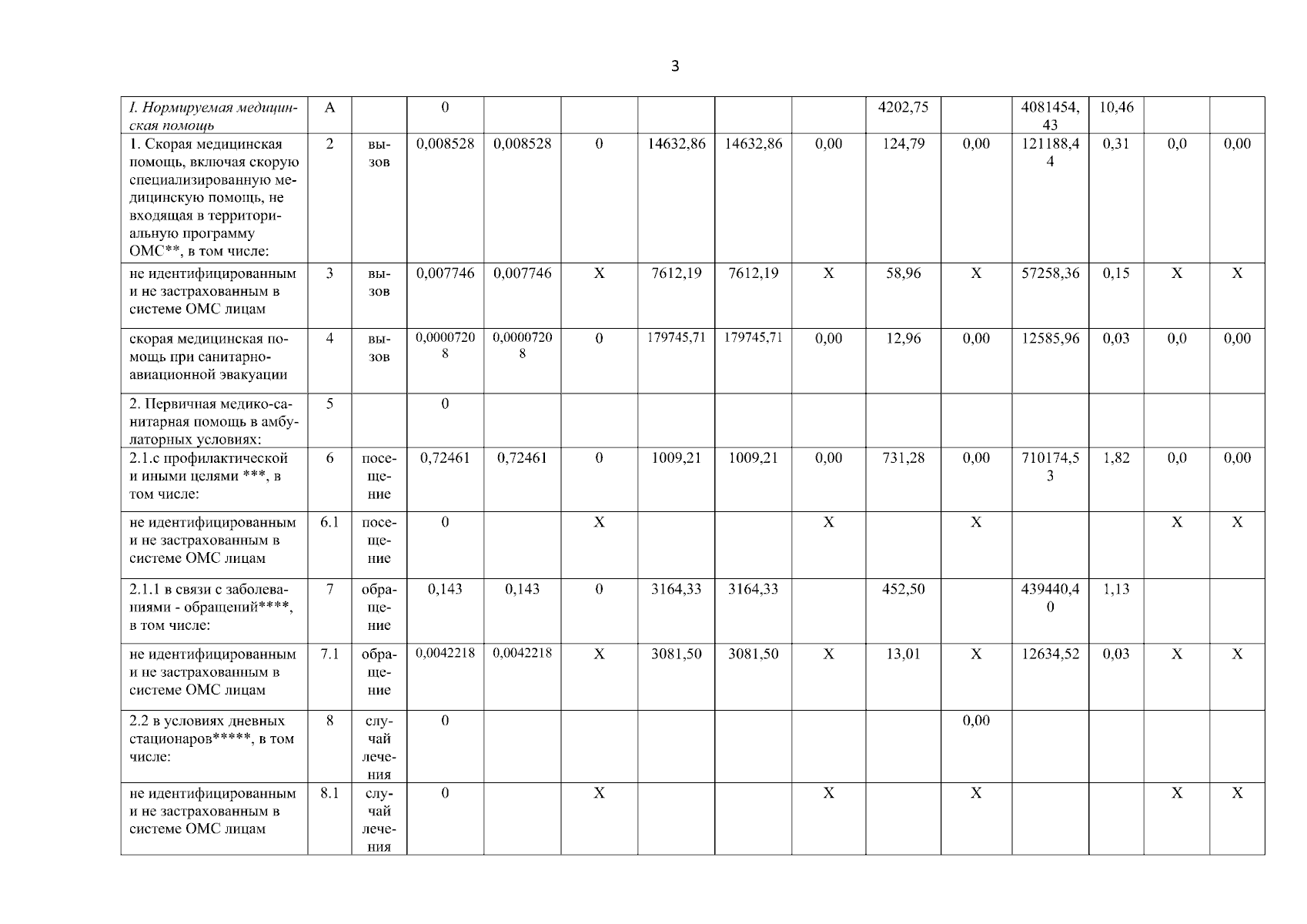
Постановление Правительства Республики Бурятия от 28.01.2026 № 38
"О Программе государственных гарантий бесплатного оказания гражданам медицинской помощи на территории Республики Бурятия на 2026 год и на плановый период 2027 и 2028 годов"
Номер опубликования: 0300202601290001
Дата опубликования: 29.01.2026
Страница №126 из 345:
Увеличить