Официальное опубликование правовых актов
ОФИЦИАЛЬНОЕ ОПУБЛИКОВАНИЕ
Постановление Правительства Республики Бурятия от 25.03.2026 № 134
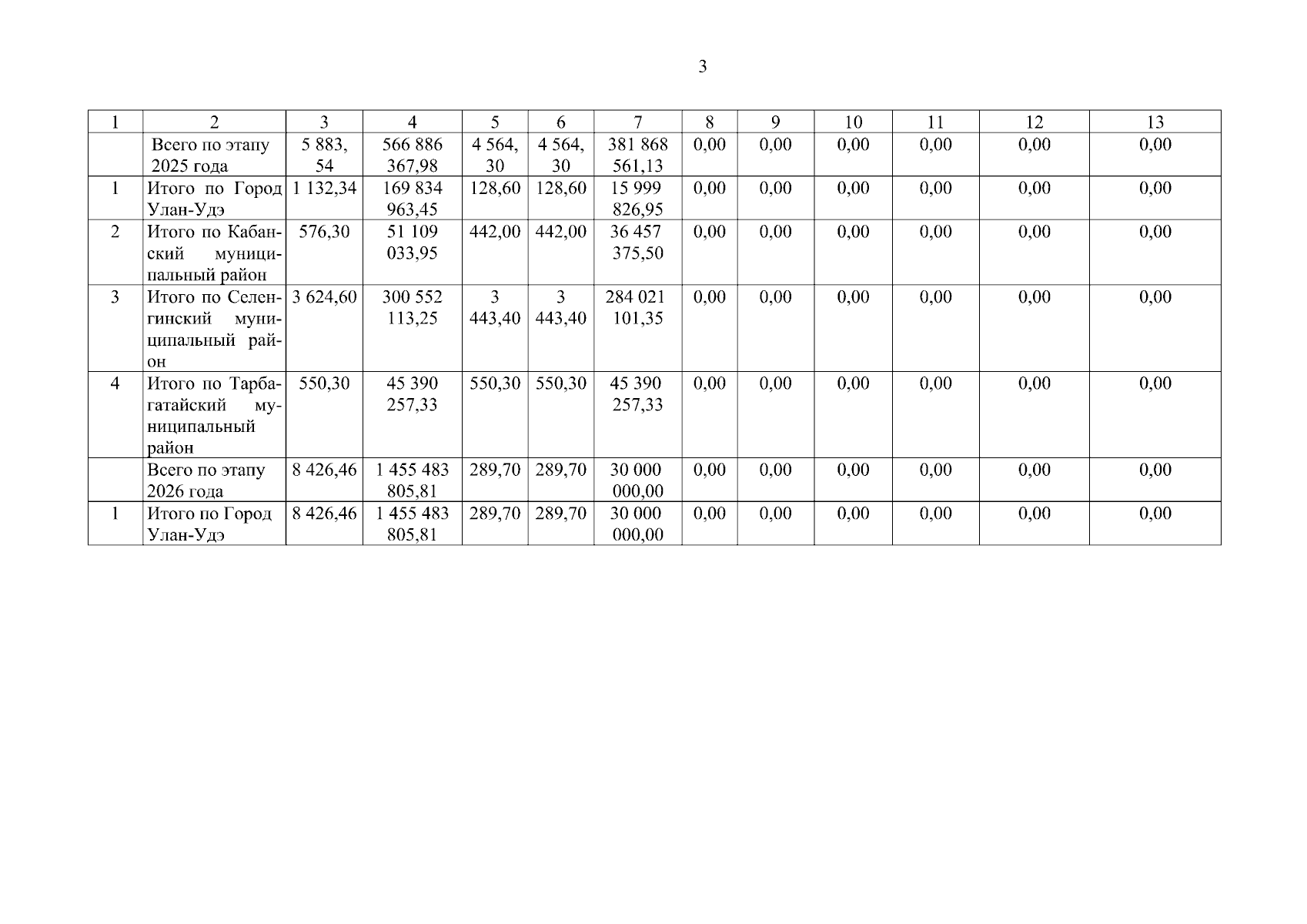
"О внесении изменений в постановление Правительства Республики Бурятия от 03.10.2025 № 577 "Об утверждении Республиканской адресной программы по переселению граждан из аварийного жилищного фонда на территории Республики Бурятия, признанного таковым после 1 января 2017 года, на 2025 - 2026 годы"
Номер опубликования: 0300202603270004
Дата опубликования: 27.03.2026
Страница №17 из 24:
Увеличить