Официальное опубликование правовых актов
ОФИЦИАЛЬНОЕ ОПУБЛИКОВАНИЕ
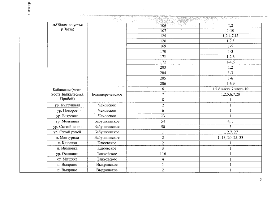
Приказ Республиканского агентства лесного хозяйства Республики Бурятия от 16.04.2018 № 387
"О введении ограничения пребывания граждан в лесах и въезда в них транспортных средств, принадлежащих гражданам в целях обеспечения пожарной безопасности в лесах на землях лесного фонда на территории Республики Бурятия"
(Зарегистрирован 17.04.2018 № 032018099)
Номер опубликования: 0301201804240002
Дата опубликования: 24.04.2018
Страница №9 из 14:
Увеличить