Официальное опубликование правовых актов
ОФИЦИАЛЬНОЕ ОПУБЛИКОВАНИЕ
Приказ Министерства строительства и модернизации жилищно-коммунального комплекса Республики Бурятия от 31.07.2024 № 06-ПР143/24
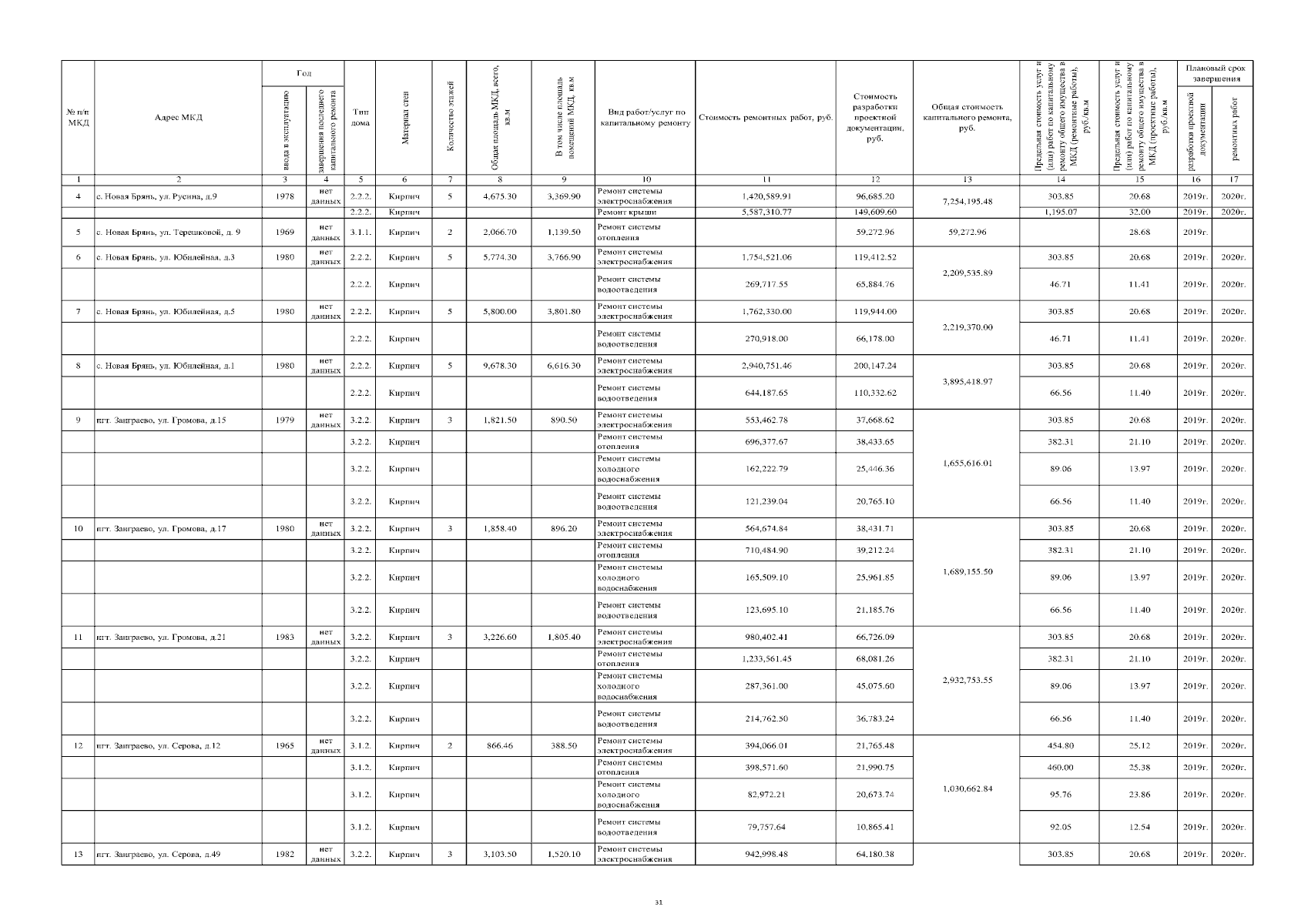
"О внесении изменения в приказ Министерства строительства и модернизации жилищно-коммунального комплекса Республики Бурятия от 08.08.2018 № 06-ПР55/18 "Об утверждении Республиканского краткосрочного плана реализации Республиканской программы "Капитальный ремонт общего имущества в многоквартирных домах, расположенных на территории Республики Бурятия" на 2017-2019 гг. (период реализации 2017-2020 гг.)"
(Зарегистрирован 08.08.2024 № 032024218)
Номер опубликования: 0301202408130004
Дата опубликования: 13.08.2024
Страница №33 из 63:
Увеличить