Официальное опубликование правовых актов
ОФИЦИАЛЬНОЕ ОПУБЛИКОВАНИЕ
Приказ Министерства строительства и модернизации жилищно-коммунального комплекса Республики Бурятия от 15.01.2026 № 06-ПР3/26
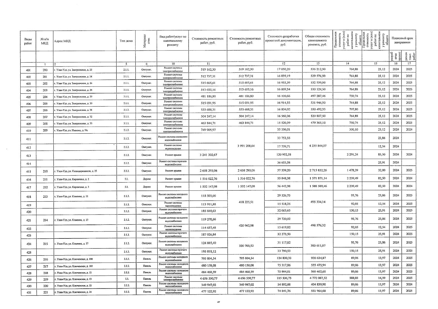
"О внесении изменения в приказ Министерства строительства и модернизации жилищно-коммунального комплекса Республики Бурятия от 28.04.2022 № 06-ПР70/22 "Об утверждении Республиканского краткосрочного плана реализации Республиканской программы "Капитальный ремонт общего имущества в многоквартирных домах, расположенных на территории Республики Бурятия" на 2023-2025 гг."
(Зарегистрирован 16.01.2026 № 032026001)
Номер опубликования: 0301202601200002
Дата опубликования: 20.01.2026
Страница №49 из 73:
Увеличить