Официальное опубликование правовых актов
ОФИЦИАЛЬНОЕ ОПУБЛИКОВАНИЕ
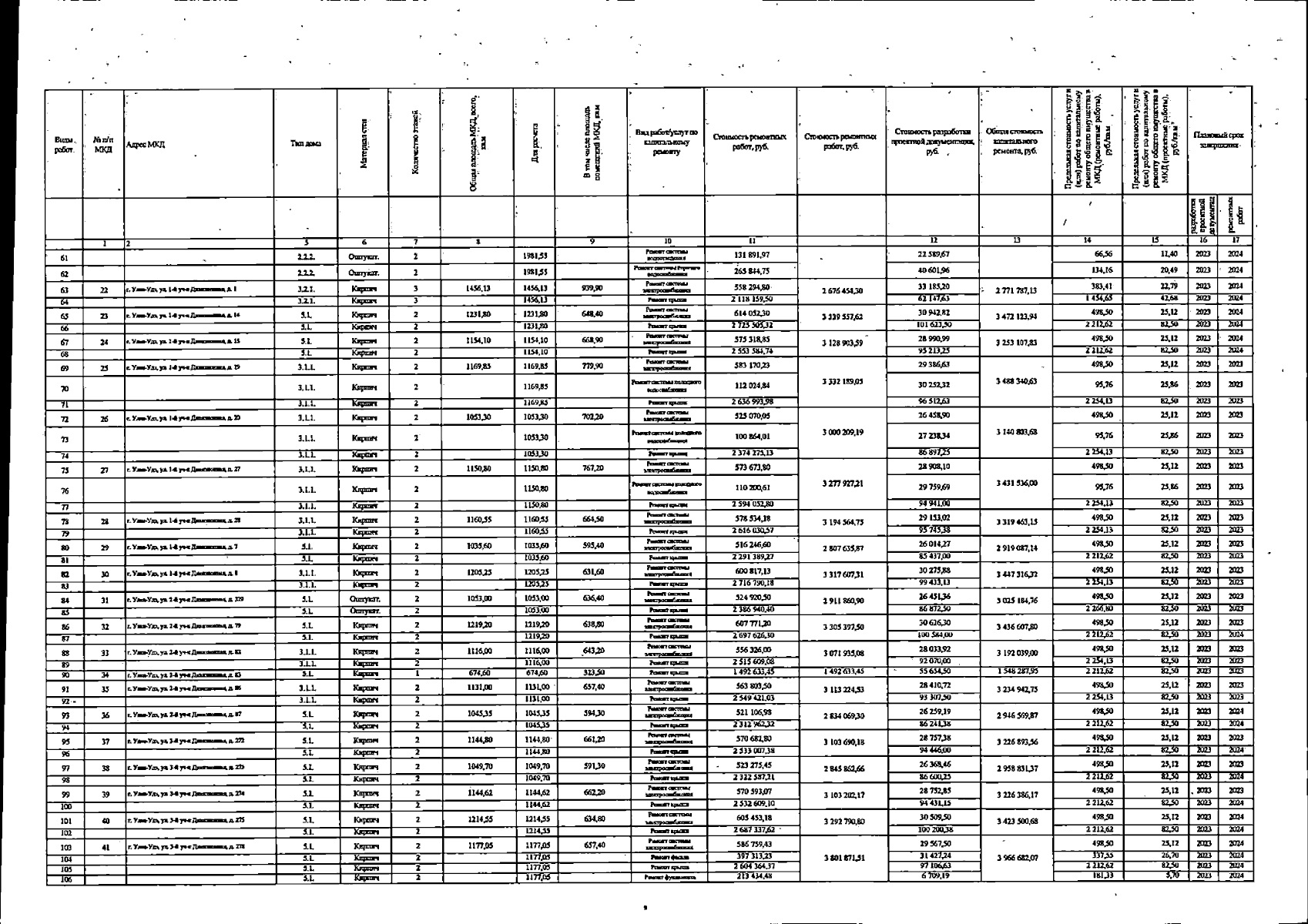
Приказ Министерства строительства и модернизации жилищно-коммунального комплекса Республики Бурятия от 25.02.2026 № 06-ПР43/26
"О внесении изменения в приказ Министерства строительства и модернизации жилищно-коммунального комплекса Республики Бурятия от 28.04.2022 № 06-ПР70/22 "Об утверждении Республиканского краткосрочного плана реализации Республиканской программы "Капитальный ремонт общего имущества в многоквартирных домах, расположенных на территории Республики Бурятия" на 2023-2025 гг."
(Зарегистрирован 05.03.2026 № 032026090)
Номер опубликования: 0301202603100002
Дата опубликования: 10.03.2026
Страница №11 из 102:
Увеличить