Официальное опубликование правовых актов
ОФИЦИАЛЬНОЕ ОПУБЛИКОВАНИЕ
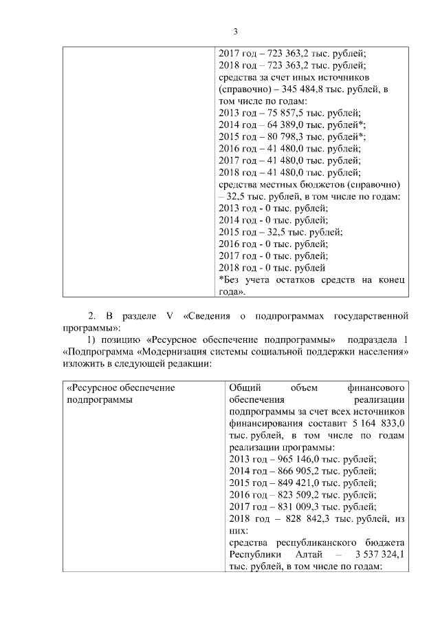
Постановление Правительства Республики Алтай от 23.10.2015 № 351
"О внесении изменений в государственную программу Республики Алтай "Обеспечение социальной защищенности и занятости населения"
Номер опубликования: 0400201510260001
Дата опубликования: 26.10.2015
Страница №3 из 55:
Увеличить