Постановление Правительства Республики Алтай от 19.11.2015 № 382
"О внесении изменений в государственную программу Республики Алтай "Развитие культуры"
"О внесении изменений в государственную программу Республики Алтай "Развитие культуры"
Номер опубликования: 0400201511200004
Дата опубликования:
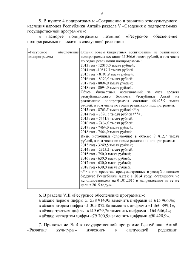
20.11.2015
