Официальное опубликование правовых актов
ОФИЦИАЛЬНОЕ ОПУБЛИКОВАНИЕ
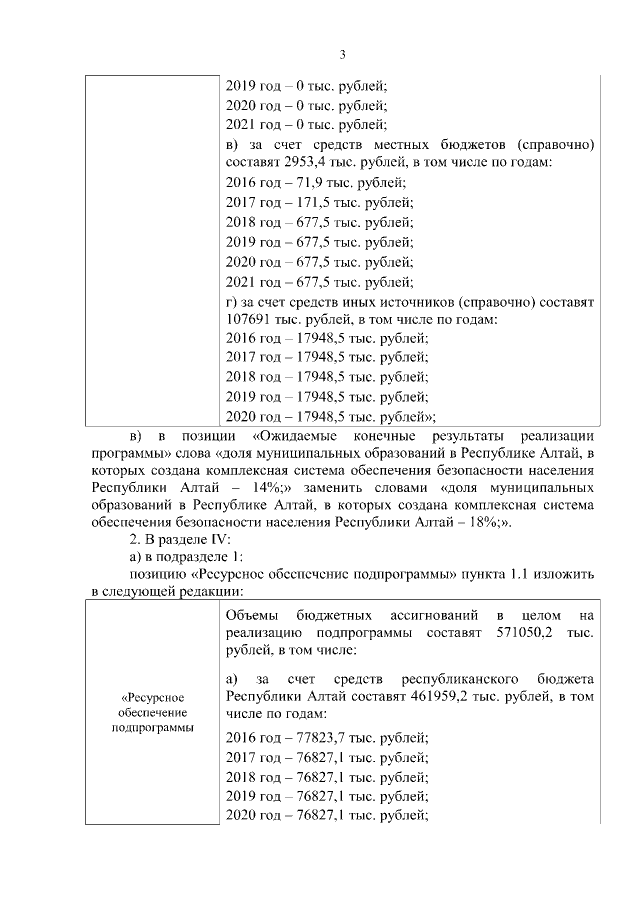
Постановление Правительства Республики Алтай от 28.12.2016 № 365
"О внесении изменений в государственную программу Республики Алтай "Информационное общество"
Номер опубликования: 0400201612290011
Дата опубликования: 29.12.2016
Страница №3 из 21:
Увеличить