Официальное опубликование правовых актов
ОФИЦИАЛЬНОЕ ОПУБЛИКОВАНИЕ
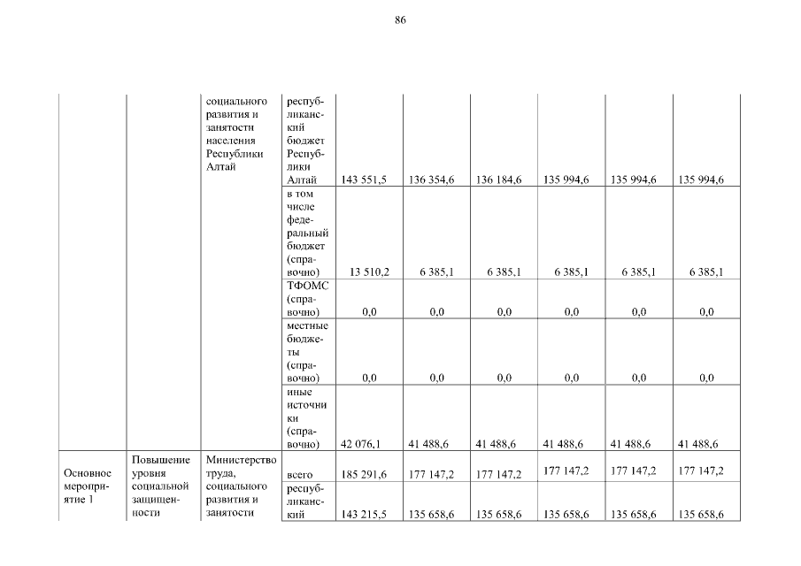
Постановление Правительства Республики Алтай от 27.12.2018 № 400
"О внесении изменений в государственную программу Республики Алтай "Обеспечение социальной защищенности и занятости населения"
Номер опубликования: 0400201812280002
Дата опубликования: 28.12.2018
Страница №86 из 110:
Увеличить