Официальное опубликование правовых актов
ОФИЦИАЛЬНОЕ ОПУБЛИКОВАНИЕ
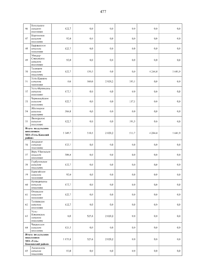
Закон Республики Алтай от 05.11.2019 № 45-РЗ
"О внесении изменений в Закон Республики Алтай "О республиканском бюджете Республики Алтай на 2019 год и на плановый период 2020 и 2021 годов"
Номер опубликования: 0400201911080001
Дата опубликования: 08.11.2019
Страница №477 из 480:
Увеличить