Официальное опубликование правовых актов
ОФИЦИАЛЬНОЕ ОПУБЛИКОВАНИЕ
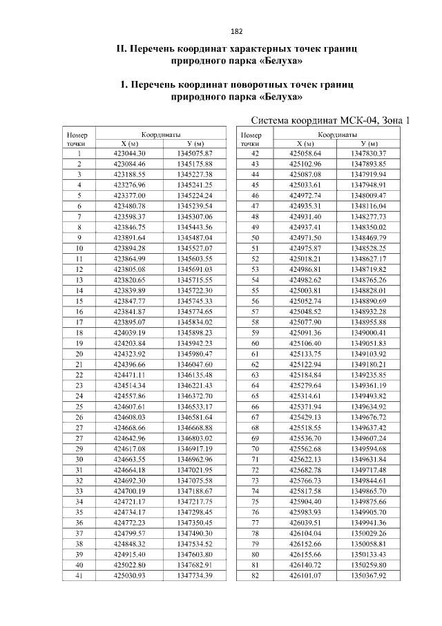
Постановление Правительства Республики Алтай от 04.12.2019 № 336
"О внесении изменений в постановление Правительства Республики Алтай от 10 июня 1997 года № 198"
Номер опубликования: 0400201912060006
Дата опубликования: 06.12.2019
Страница №182 из 233:
Увеличить