Официальное опубликование правовых актов
ОФИЦИАЛЬНОЕ ОПУБЛИКОВАНИЕ
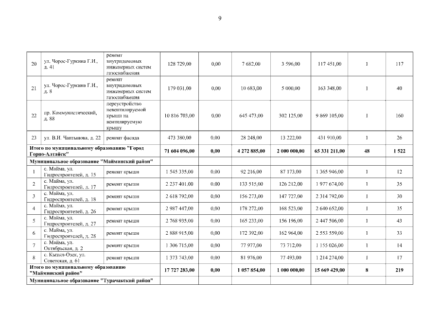
Постановление Правительства Республики Алтай от 09.12.2019 № 343
"О внесении изменений в краткосрочный план реализации региональной программы "Проведение капитального ремонта общего имущества в многоквартирных домах на территории Республики Алтай на 2014-2043 годы" на 2018 – 2020 годы"
Номер опубликования: 0400201912100006
Дата опубликования: 10.12.2019
Страница №9 из 10:
Увеличить