Официальное опубликование правовых актов
ОФИЦИАЛЬНОЕ ОПУБЛИКОВАНИЕ
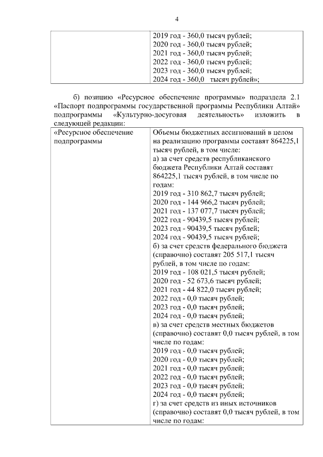
Постановление Правительства Республики Алтай от 27.12.2019 № 388
"О внесении изменений в государственную программу Республики Алтай "Развитие культуры"
Номер опубликования: 0400201912300006
Дата опубликования: 30.12.2019
Страница №4 из 24:
Увеличить