Официальное опубликование правовых актов
ОФИЦИАЛЬНОЕ ОПУБЛИКОВАНИЕ
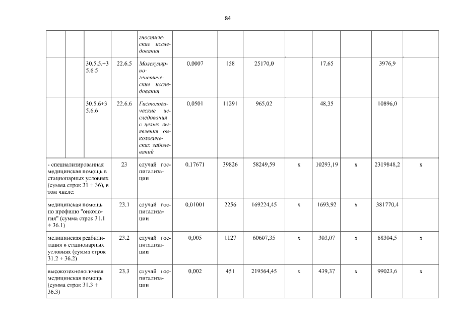
Постановление Правительства Республики Алтай от 30.12.2019 № 401
"О Территориальной программе государственных гарантий бесплатного оказания гражданам медицинской помощи на 2020 год и на плановый период 2021 и 2022 годов и признании утратившими силу некоторых постановлений Правительства Республики Алтай"
Номер опубликования: 0400201912300021
Дата опубликования: 30.12.2019
Страница №84 из 191:
Увеличить