Официальное опубликование правовых актов
ОФИЦИАЛЬНОЕ ОПУБЛИКОВАНИЕ
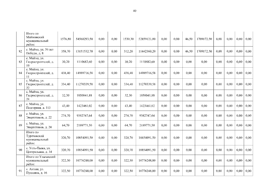
Постановление Правительства Республики Алтай от 28.12.2019 № 400
"О результатах реализации республиканской адресной программы "Переселение граждан из аварийного жилищного фонда в Республике Алтай в 2013-2017 годах"
Номер опубликования: 0400202001040001
Дата опубликования: 04.01.2020
Страница №40 из 46:
Увеличить