Официальное опубликование правовых актов
ОФИЦИАЛЬНОЕ ОПУБЛИКОВАНИЕ
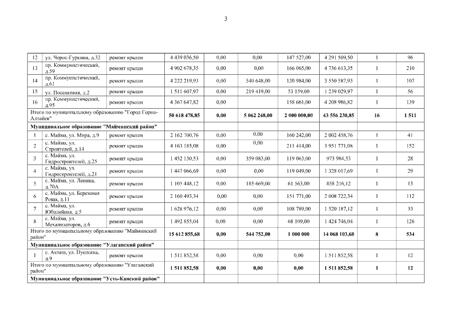
Постановление Правительства Республики Алтай от 17.01.2020 № 6
"О внесении изменений в краткосрочный план реализации региональной программы "Проведение капитального ремонта общего имущества в многоквартирных домах на территории Республики Алтай на 2014-2043 годы" на 2018 – 2020 годы"
Номер опубликования: 0400202001200002
Дата опубликования: 20.01.2020
Страница №3 из 10:
Увеличить