Официальное опубликование правовых актов
ОФИЦИАЛЬНОЕ ОПУБЛИКОВАНИЕ
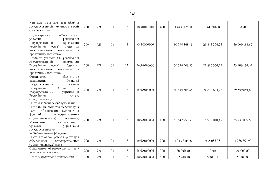
Постановление Правительства Республики Алтай от 07.08.2020 № 252
"Об утверждении отчета об исполнении республиканского бюджета Республики Алтай за первое полугодие 2020 года"
Номер опубликования: 0400202008100003
Дата опубликования: 10.08.2020
Страница №348 из 431:
Увеличить