Официальное опубликование правовых актов
ОФИЦИАЛЬНОЕ ОПУБЛИКОВАНИЕ
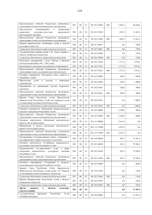
Закон Республики Алтай от 17.11.2020 № 61-РЗ
"О внесении изменений в Закон Республики Алтай "О республиканском бюджете Республики Алтай на 2020 год и на плановый период 2021 и 2022 годов"
Номер опубликования: 0400202011190003
Дата опубликования: 19.11.2020
Страница №110 из 535:
Увеличить