Официальное опубликование правовых актов
ОФИЦИАЛЬНОЕ ОПУБЛИКОВАНИЕ
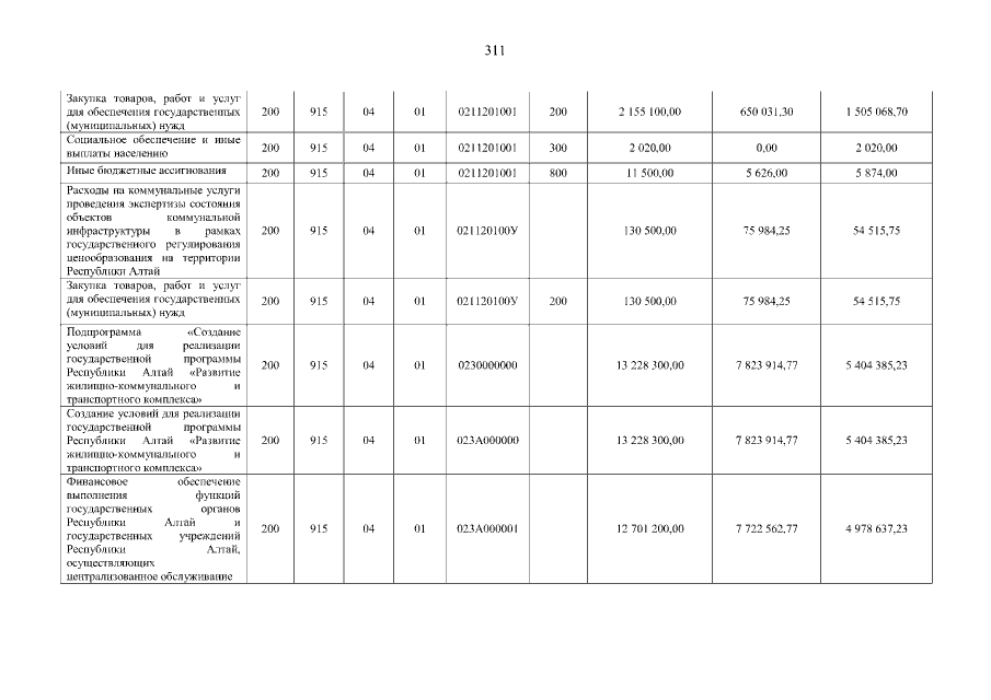
Постановление Правительства Республики Алтай от 04.12.2020 № 395
"Об утверждении отчета об исполнении республиканского бюджета Республики Алтай за девять месяцев 2020 года"
Номер опубликования: 0400202012080001
Дата опубликования: 08.12.2020
Страница №311 из 439:
Увеличить