Официальное опубликование правовых актов
ОФИЦИАЛЬНОЕ ОПУБЛИКОВАНИЕ
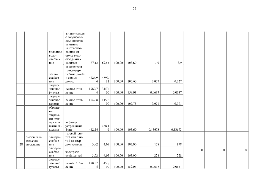
Указ Главы Республики Алтай, Председателя Правительства Республики Алтай от 11.12.2020 № 304
"Об утверждении предельных (максимальных) индексов изменения размера вносимой гражданами платы за коммунальные услуги в муниципальных образованиях в Республике Алтай на 2021 год"
Номер опубликования: 0400202012150005
Дата опубликования: 15.12.2020
Страница №27 из 71:
Увеличить