Официальное опубликование правовых актов
ОФИЦИАЛЬНОЕ ОПУБЛИКОВАНИЕ
Постановление Правительства Республики Алтай от 15.12.2020 № 410
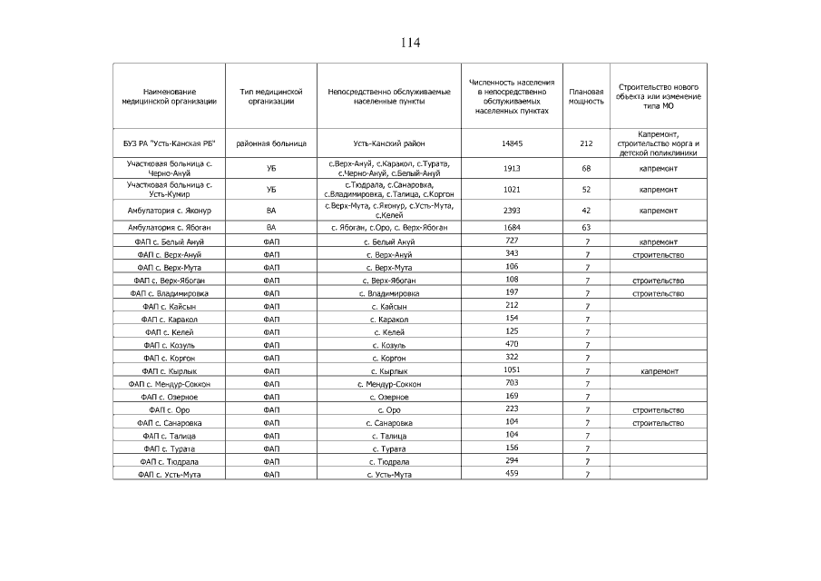
"Об утверждении региональной программы "Модернизация первичного звена здравоохранения в Республике Алтай"
Номер опубликования: 0400202012170005
Дата опубликования: 17.12.2020
Страница №114 из 341:
Увеличить