Официальное опубликование правовых актов
ОФИЦИАЛЬНОЕ ОПУБЛИКОВАНИЕ
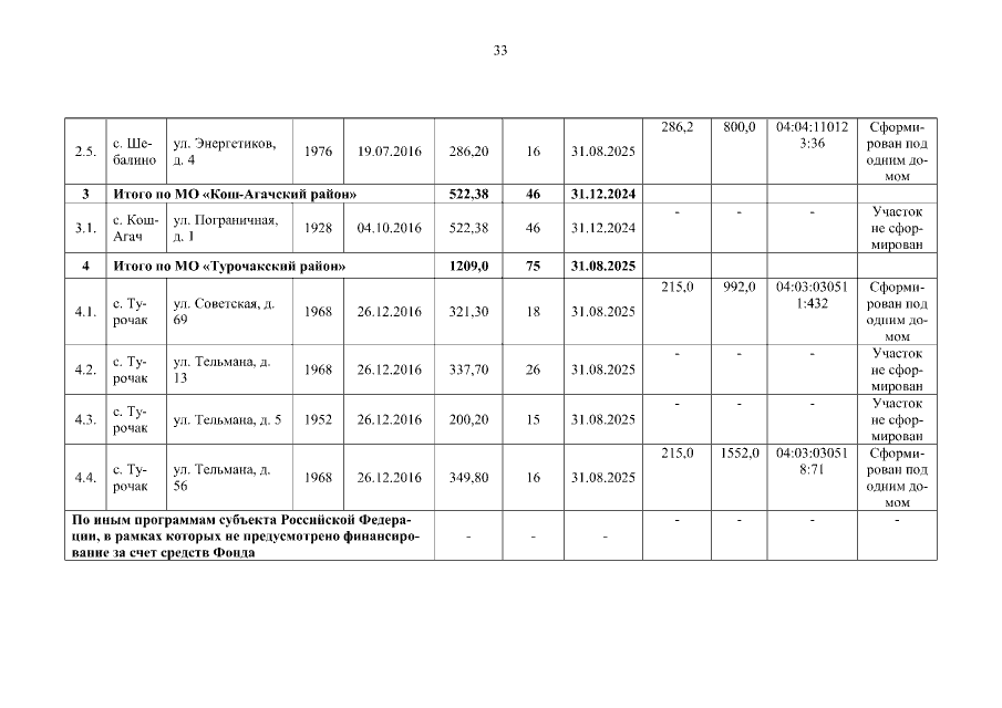
Постановление Правительства Республики Алтай от 22.12.2020 № 416
"О внесении изменений в республиканскую адресную программу "Переселение граждан из аварийного жилищного фонда в Республике Алтай в 2019-2025 годах"
Номер опубликования: 0400202012230009
Дата опубликования: 23.12.2020
Страница №33 из 44:
Увеличить