Официальное опубликование правовых актов
ОФИЦИАЛЬНОЕ ОПУБЛИКОВАНИЕ
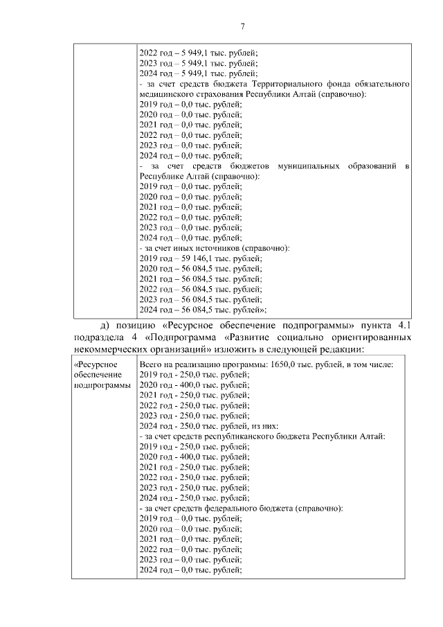
Постановление Правительства Республики Алтай от 23.12.2020 № 424
"О внесении изменений в государственную программу Республики Алтай "Обеспечение социальной защищенности и занятости населения"
Номер опубликования: 0400202012280007
Дата опубликования: 28.12.2020
Страница №7 из 93:
Увеличить