Официальное опубликование правовых актов
ОФИЦИАЛЬНОЕ ОПУБЛИКОВАНИЕ
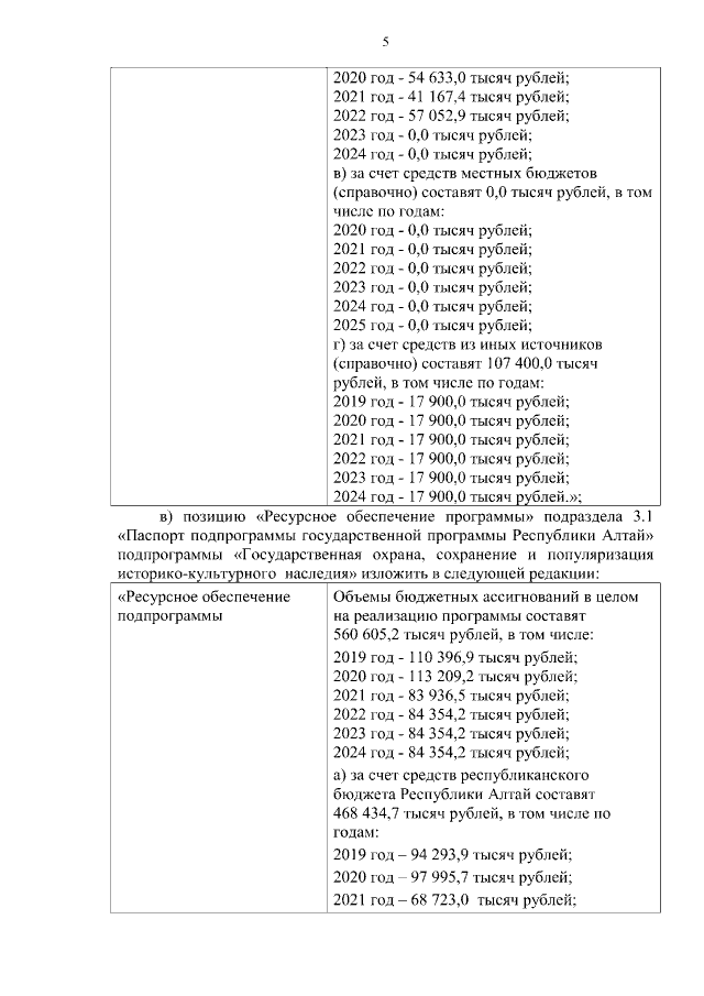
Постановление Правительства Республики Алтай от 29.12.2020 № 438
"О внесении изменений в государственную программу Республики Алтай "Развитие культуры"
Номер опубликования: 0400202012300003
Дата опубликования: 30.12.2020
Страница №5 из 29:
Увеличить