Официальное опубликование правовых актов
ОФИЦИАЛЬНОЕ ОПУБЛИКОВАНИЕ
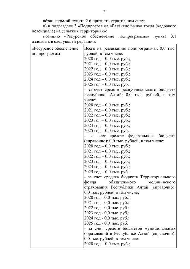
Постановление Правительства Республики Алтай от 29.12.2020 № 449
"О внесении изменений в государственную
программу Республики Алтай "Комплексное развитие сельских территорий"
Номер опубликования: 0400202012310005
Дата опубликования: 31.12.2020
Страница №7 из 35:
Увеличить