Официальное опубликование правовых актов
ОФИЦИАЛЬНОЕ ОПУБЛИКОВАНИЕ
Постановление Правительства Республики Алтай от 01.02.2021 № 12
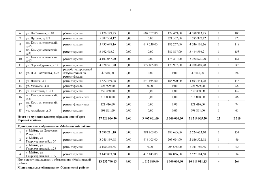
"О внесении изменений в краткосрочный план реализации региональной программы "Проведение капитального ремонта общего имущества в многоквартирных домах на территории Республики Алтай на 2014-2043 годы" на 2019 – 2021 годы, утвержденный постановлением Правительства Республики Алтай от 17 ноября 2020 года № 360"
Номер опубликования: 0400202102020001
Дата опубликования: 02.02.2021
Страница №3 из 12:
Увеличить