Официальное опубликование правовых актов
ОФИЦИАЛЬНОЕ ОПУБЛИКОВАНИЕ
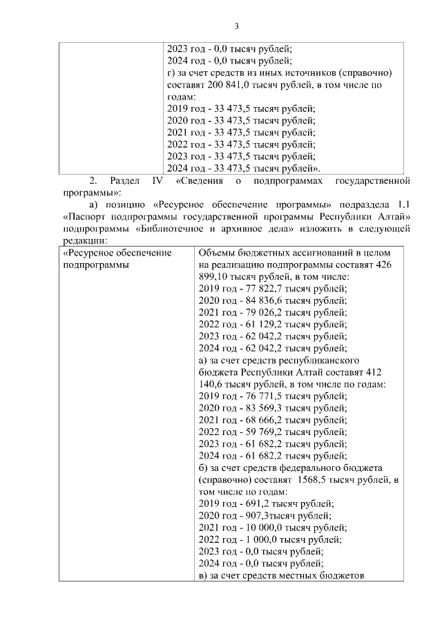
Постановление Правительства Республики Алтай от 12.03.2021 № 60
"О внесении изменений в государственную программу Республики Алтай "Развитие культуры"
Номер опубликования: 0400202103160001
Дата опубликования: 16.03.2021
Страница №3 из 21:
Увеличить