Официальное опубликование правовых актов
ОФИЦИАЛЬНОЕ ОПУБЛИКОВАНИЕ
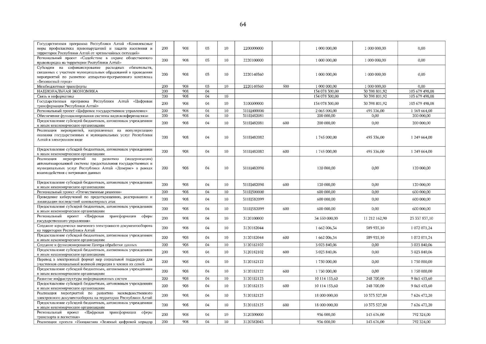
Постановление Правительства Республики Алтай от 15.07.2025 № 202
"Об утверждении отчета об исполнении республиканского бюджета Республики Алтай за первый квартал 2025 года"
Номер опубликования: 0400202507170004
Дата опубликования: 17.07.2025
Страница №64 из 130:
Увеличить