Официальное опубликование правовых актов
ОФИЦИАЛЬНОЕ ОПУБЛИКОВАНИЕ
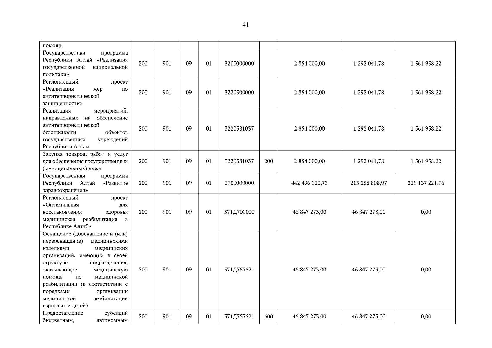
Постановление Правительства Республики Алтай от 19.08.2025 № 222
"Об утверждении отчета об исполнении республиканского бюджета Республики Алтай за первое полугодие 2025 года"
Номер опубликования: 0400202508260004
Дата опубликования: 26.08.2025
Страница №41 из 345:
Увеличить