Официальное опубликование правовых актов
ОФИЦИАЛЬНОЕ ОПУБЛИКОВАНИЕ
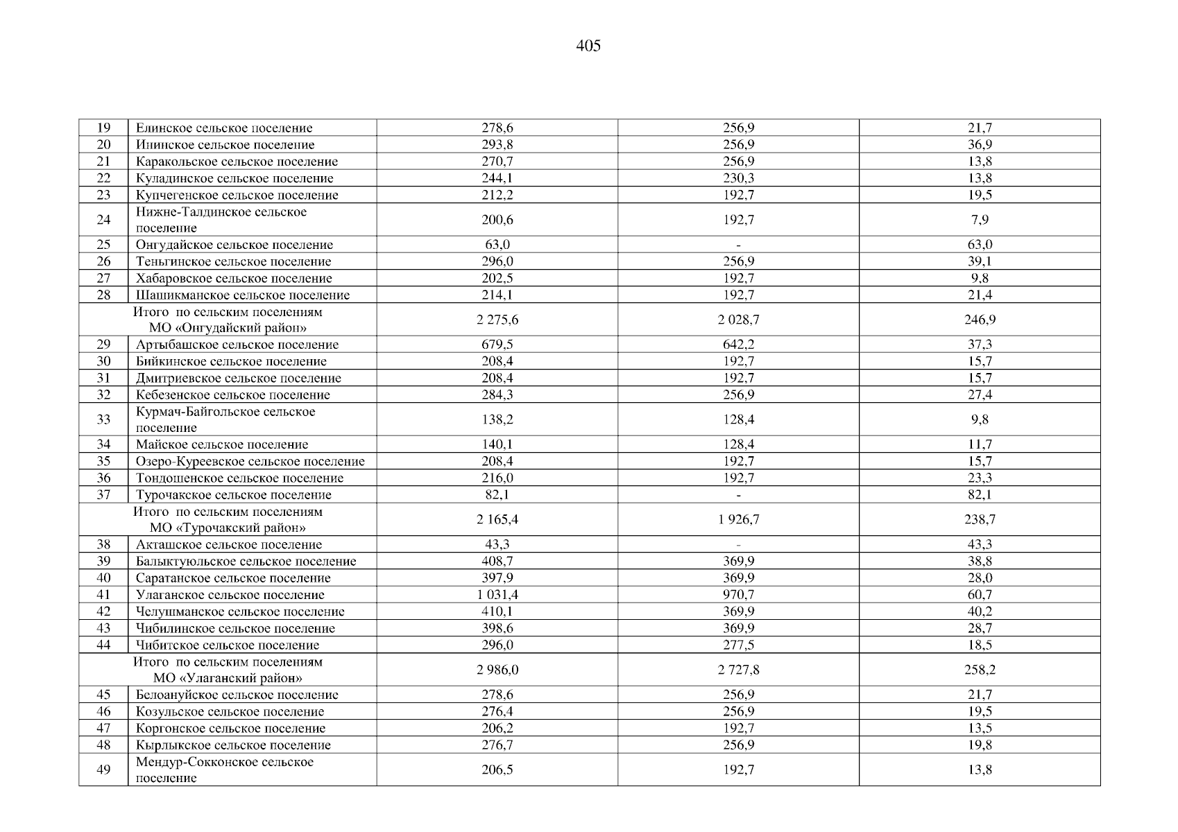
Закон Республики Алтай от 18.12.2025 № 123-РЗ
"О внесении изменений в Закон Республики Алтай "О республиканском бюджете Республики Алтай на 2025 год и на плановый период 2026 и 2027 годов"
Номер опубликования: 0400202512220009
Дата опубликования: 22.12.2025
Страница №405 из 411:
Увеличить