Официальное опубликование правовых актов
ОФИЦИАЛЬНОЕ ОПУБЛИКОВАНИЕ
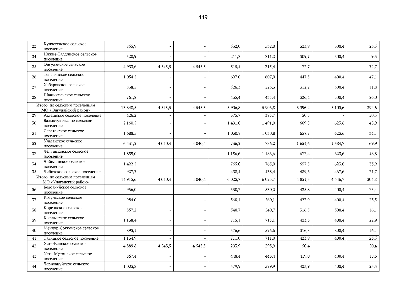
Закон Республики Алтай от 20.03.2026 № 11-РЗ
"О внесении изменений в Закон Республики Алтай "О республиканском бюджете Республики Алтай на 2026 год и на плановый период 2027 и 2028 годов"
Номер опубликования: 0400202603200003
Дата опубликования: 20.03.2026
Страница №449 из 467:
Увеличить