Официальное опубликование правовых актов
ОФИЦИАЛЬНОЕ ОПУБЛИКОВАНИЕ
Приказ Министерства природных ресурсов и экологии Республики Алтай от 06.03.2025 № П-03-01/0012
"О внесении изменений в приказ Министерства природных ресурсов, экологии и туризма Республики Алтай от 9 августа 2022 г. № 548"
(Зарегистрирован 06.03.2025 № 0176)
Номер опубликования: 0401202503070002
Дата опубликования: 07.03.2025
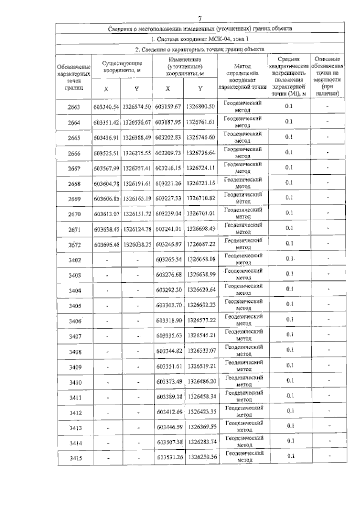
Страница №7 из 13:
Увеличить