Официальное опубликование правовых актов
ОФИЦИАЛЬНОЕ ОПУБЛИКОВАНИЕ
Приказ Министерства природных ресурсов и экологии Республики Алтай от 27.05.2025 № П-03-01/0036
"Об установлении зон санитарной охраны на водозаборные сооружения АО Компания "Проксима" на участке недр местного значения Чепошский в с. Чепош Чемальского района Республики Алтай (Скв. № ГС-22/23, № ГС-23/23, № ГС-24/23)"
(Зарегистрирован 27.05.2025 № 0409)
Номер опубликования: 0401202505270001
Дата опубликования: 27.05.2025
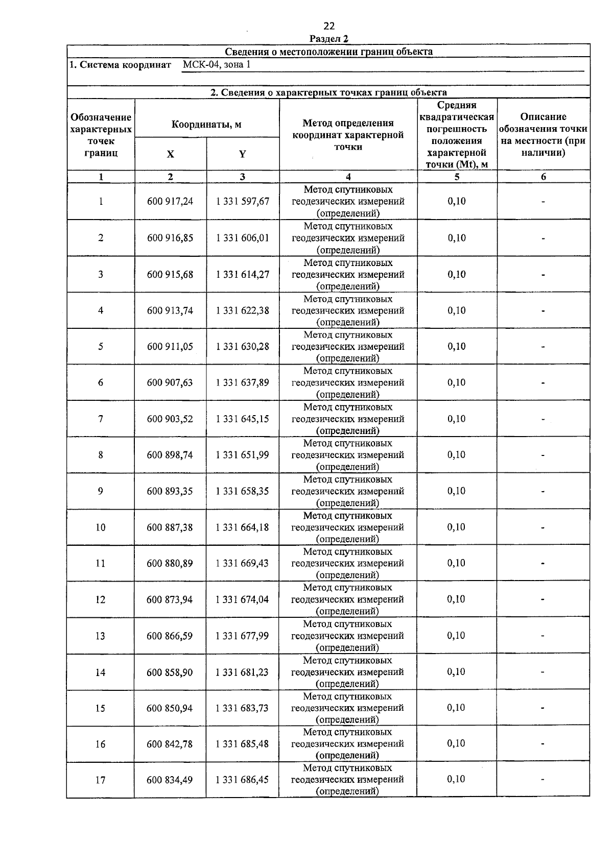
Страница №22 из 29:
Увеличить