Официальное опубликование правовых актов
ОФИЦИАЛЬНОЕ ОПУБЛИКОВАНИЕ
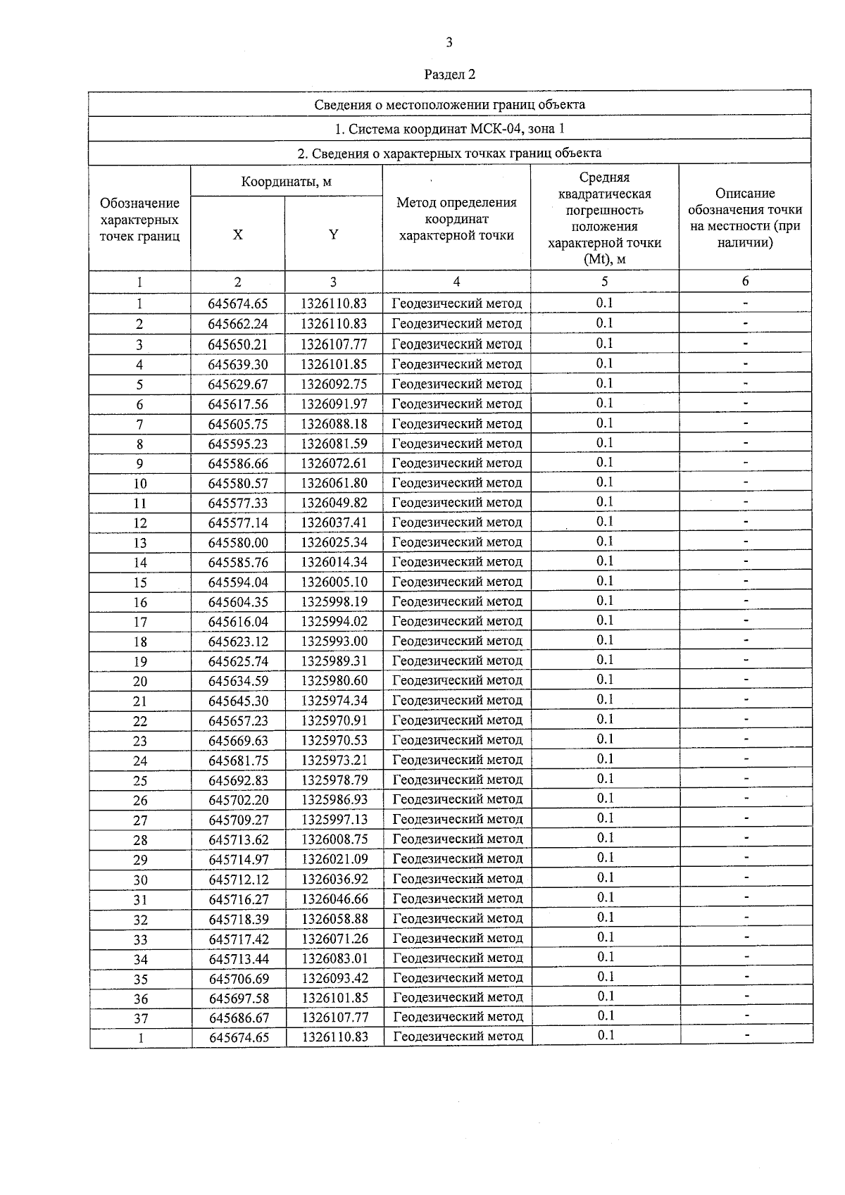
Приказ Министерства природных ресурсов и экологии Республики Алтай от 27.05.2025 № П-03-01/0038
"Об установлении зон санитарной охраны на действующий водозабор подземных вод АО "Аэропорт Горно-Алтайск" на участке недр местного значения, расположенном в с. Майма Майминского района Республики Алтай (Скв. №№ Г2/11, Г3/11, Г4/11)"
(Зарегистрирован 27.05.2025 № 0413)
Номер опубликования: 0401202505280002
Дата опубликования: 28.05.2025
Страница №3 из 17:
Увеличить