Официальное опубликование правовых актов
ОФИЦИАЛЬНОЕ ОПУБЛИКОВАНИЕ
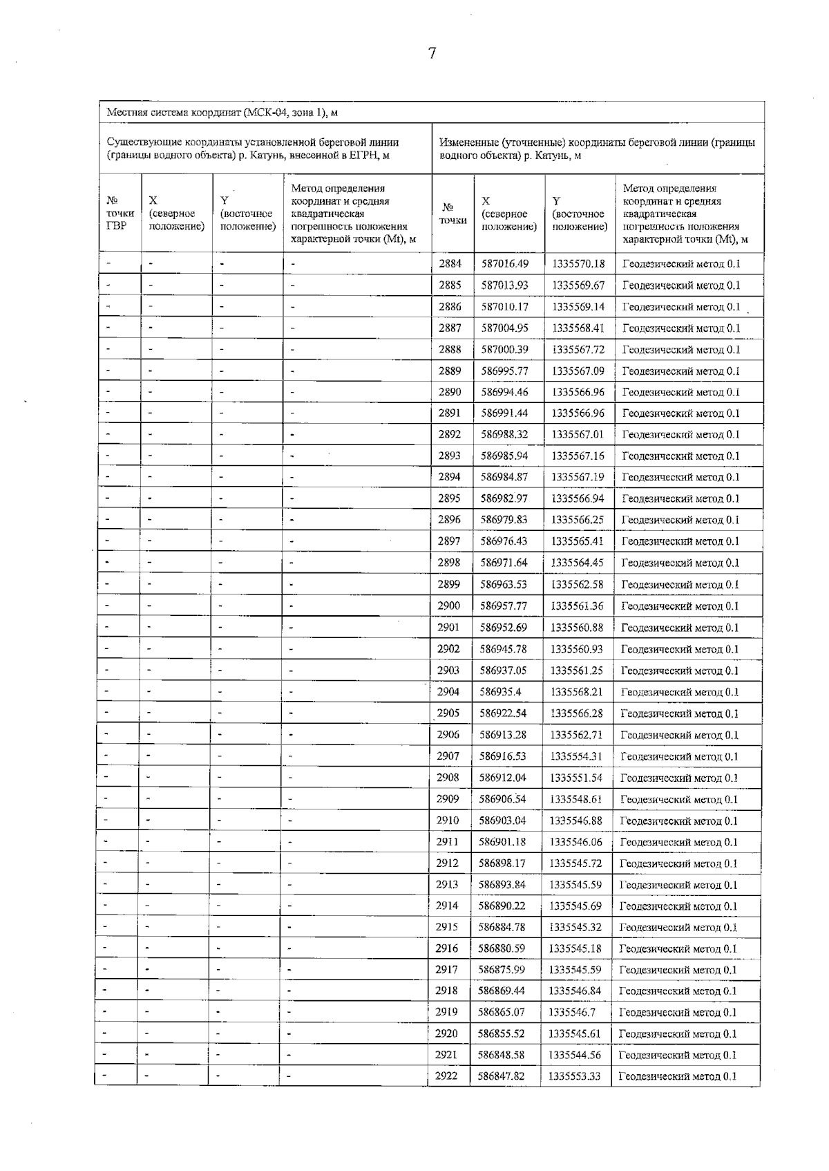
Приказ Министерства природных ресурсов и экологии Республики Алтай от 17.02.2026 № П-03-01/3
"О внесении изменений в приказ Министерства природных ресурсов, экологии и туризма Республики Алтай от 9 августа 2022 г. № 548"
(Зарегистрирован 17.02.2026 № 63)
Номер опубликования: 0401202602180001
Дата опубликования: 18.02.2026
Страница №7 из 22:
Увеличить