Официальное опубликование правовых актов
ОФИЦИАЛЬНОЕ ОПУБЛИКОВАНИЕ
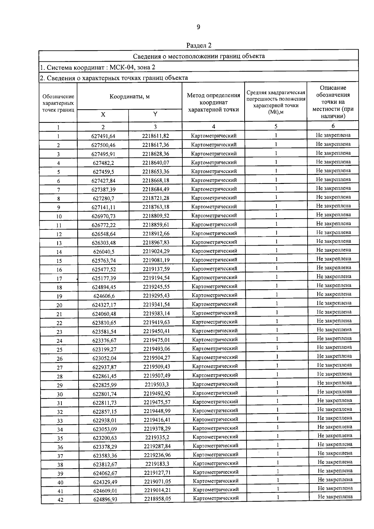
Приказ Министерства природных ресурсов и экологии Республики Алтай от 17.03.2026 № П-03-01/12
"Об установлении зон санитарной охраны действующего водозабора подземных вод (кадастровый номер 04:03:090305:1), расположенного в 600 м восточнее с. Иогач, муниципальный округ "Турочакский район", Республика Алтай"
(Зарегистрирован 18.03.2026 № 131)
Номер опубликования: 0401202603190001
Дата опубликования: 19.03.2026
Страница №9 из 12:
Увеличить