Официальное опубликование правовых актов
ОФИЦИАЛЬНОЕ ОПУБЛИКОВАНИЕ
Приказ Министерства строительства и жилищно-коммунального хозяйства Республики Алтай от 27.03.2026 № П-07-01/126
"Об установлении требований к программам в области энергосбережения и повышения энергетической эффективности ООО "Горно-Алтайское городское предприятие электрических сетей" на 2027 - 2029 годы"
(Зарегистрирован 27.03.2026 № 158)
Номер опубликования: 0401202603300001
Дата опубликования: 30.03.2026
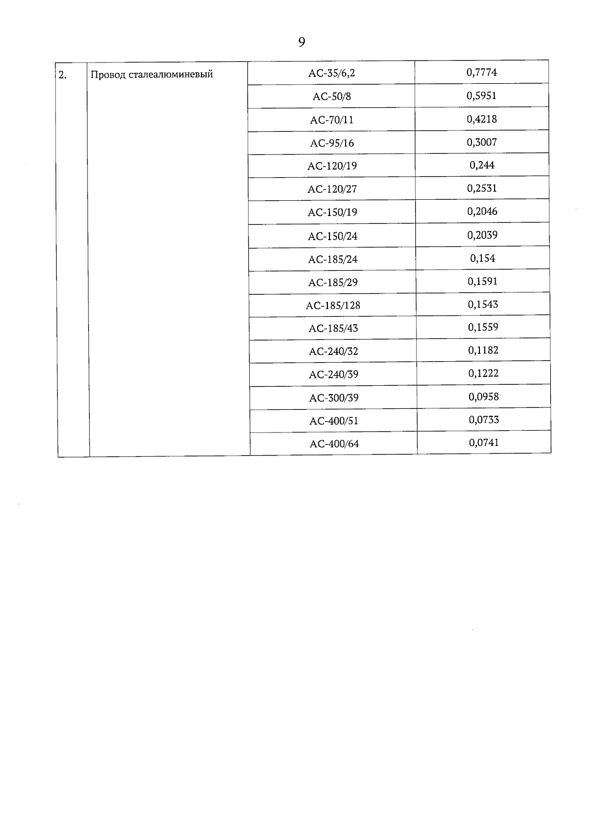
Страница №9 из 10:
Увеличить